FPCE9 home Index Electronica Fizica
Campul de forta constant este presupus pe directia x.

k=constant. Caz particular: particula pleaca din repaus.

Raspuns: beta dupa timpul t este:

La fel de bine se poate pune intrabarea. Dupa cat timp beta atinge o valoare data?

Se poate arata ca

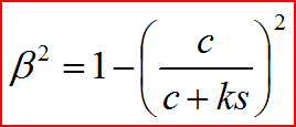
Folosind relatiile de mai sus se poate arata ca beta depinde de spatiul parcurs dupa legea

si ca variatia masei particulei este proportionala cu distanta parcurs

© Cornel Mironel Niculae @fizica.unibuc.ro
2008-2009
Last updated: 09 May 2012