FPCE9 home Index Electronica Fizica
Particula pleaca din origine cu viteza initiala nula intr-un camp de forta constant

determinat de un camp electric constant.
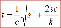
β(t),t(β),s(t),t(s),β(s), s(β),Δm(s)
| t | s | β | Δm=m-m0 | |
| t | 1 | ![]() |
![]() |
![]() |
| s | ![]() |
1 |
![]() |
![]() |
| β | ![]() |
![]() |
1 | ![]() |
| Δm | ![]() |
![]() |
![]() |
1 |
Constante cunoscute
| c0= 299792458 m/s | me=9.10938215e-31 kg | mp=1.672621637e-27 kg |
| u=1.660538782e-27 kg | qe=1.602176487e-19 C |
© Cornel Mironel Niculae @fizica.unibuc.ro
2008-
Last updated: April 25, 2018