FPCE9 home  Index Electronica Fizica

Formular de calcul al frecventelor specifice miscarii monoparticula in capcana Penning

q=qe
B=T
m=u[u.a.m]
fC=Hz
r0=cm
 U=V
fZ=Hz

f1=Hz
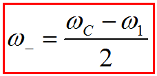
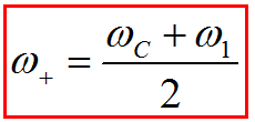
f+/f= f+=Hz
  f=Hz

 

© Cornel Mironel Niculae @fizica.unibuc.ro
2008-2009

Last updated: 09 May 2012