[]
[]

Integreaza miscarea in capcana Paul

r0[m]=
Q[qe]=
m[uam]=
U[V]=
V[V]=
f[kHz]=
Viteza[m/s]=
Pozitia[m]=
Nr. per.=
PLOT CoordX= CoordY=


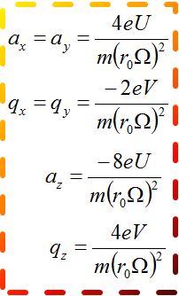
az=
qz=
βz=
νz[kHz]=
ax=
qx=
βx=
νx[kHz]=

FPCE9 home  Index Electronica Fizica




































© Cornel Mironel Niculae @fizica.unibuc.ro
2008-2012

Last updated: 22 May 2012